LNBU-OPTI-ROB24
Konwerter satelitarny LNB Unicable Opticum Robust SCR 24UB + TRIPLE Legacy
Konwerter UNICABLE przeznaczony do odbioru programów telewizji satelitarnej.Jedno wyjście konwertera SCR2 i jeden kabel dostarcza sygnał dla 24 odbiorników cyfrowych.
Konwerter ma jednoprzewodową transmisję sygnału do dwudziestu czterech odbiorników z obsługą UNICABLE II (EN50494 + EN50607).
Odbiorniki pracują w pełni niezależnie.
Warunkiem jest posiadanie przez nich funkcji UNICABLE, która polega na wykorzystaniu
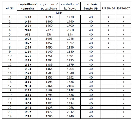
do transmisji sygnału 24 częstotliwości:
- Odbiornik 1 - 1210MHz
- Odbiornik 2 - 1420MHz
- Odbiornik 3 - 1680MHz
- Odbiornik 4 - 2040MHz
- Odbiornik 5 - 978MHz
- Odbiornik 6 - 1028MHz
- Odbiornik 7 - 1072MHz
- Odbiornik 8 - 1116MHz
- Odbiornik 9 - 1160MHz
- Odbiornik 10 - 1271MHz
- Odbiornik 11 - 1315MHz
- Odbiornik 12 - 1359MHz
- Odbiornik 13 - 1484MHz
- Odbiornik 14 - 1528MHz
- Odbiornik 15 - 1572MHz
- Odbiornik 16 - 1616MHz
- Odbiornik 17 - 2084MHz
- Odbiornik 18 - 2128MHz
- Odbiornik 19 - 1816MHz
- Odbiornik 20 - 1860MHz
- Odbiornik 21 - 1904MHz
- Odbiornik 22 - 1948MHz
- Odbiornik 23 - 1992MHz
- Odbiornik 24 - 1728MHz
Jedno wyjście konwertera UNICABLE (SCR) w kolorze złotym pozwala na poprowadzenie sygnału jednym kablem do max. 24 odbiorników cyfrowych z sygnałem SCR lub UNICABLE.
Trzy wyjścia konwertera full band w kolorze srebrnym pozwalają na podłączenie trzech tradycyjnych odbiorników cyfrowych.
Parametry techniczne:
- Pasmo wejściowe: 10,70-11,70 GHz/11,70- 12,75 GHz
- Pasmo wyjściowe: 950-1950 MHz/1100-2150 MHz
- Górne pasmo wejściowe; 11,7-12,75 GHz
- Oscylator górny: 10,4/9,75/10,6 GHz
- Wyjścia kanałów SCR: 24
- Wyjścia sygnałów Full Band: 3
- Wzmocnienie: pow. 57 dB
- Ilość wyjść full band: 2
- Współczynnik szumów: 0,1 dB
- Pobór prądu: 300 mA
- Średnica uchwytu: 40 mm
- Temperatura pracy: - 40?C + 65?C
product features
List price
30,00 €/1pcs.
Brand
Entity responsible for this product in the EU
DMTrade Mikołaj TomaszewskiMore
ProducerDMTrade Mikołaj TomaszewskiAddress:
ul. Wiśniowa 36Postal code: 64-000City: KościanCountry: PolskaPhone number: +48 61 111 02 52E-mail: info@dmtrade.pl
Responsible entityDMTrade Mikołaj TomaszewskiAddress:
ul. Wiśniowa 36Postal code: 64-000City: KościanCountry: PolskaPhone number: +48 61 111 02 523E-mail: info@dmtrade.plDescription: DMTrade
Symbol
LNBU-OPTI-ROB24
Producer code
5908266361338
Warranty
Number of Unicable II outputs
1
Number of Legacy outputs
3
Programmability
not
Terrestrial input
not
Write your opinion
Ask a question















