Konwerter satelitarny LNB Unicable Opticum Robust SCR 24UB + TWIN Legacy
Konwerter UNICABLE przeznaczony do odbioru programów telewizji satelitarnej.Jedno wyjście konwertera SCR2 i jeden kabel dostarcza sygnał dla 24 odbiorników cyfrowych.
Konwerter ma jednoprzewodową transmisję sygnału do dwudziestu czterech odbiorników z obsługą UNICABLE II (EN50494 + EN50607).
Odbiorniki pracują w pełni niezależnie.
Warunkiem jest posiadanie przez nich funkcji UNICABLE, która polega na wykorzystaniu
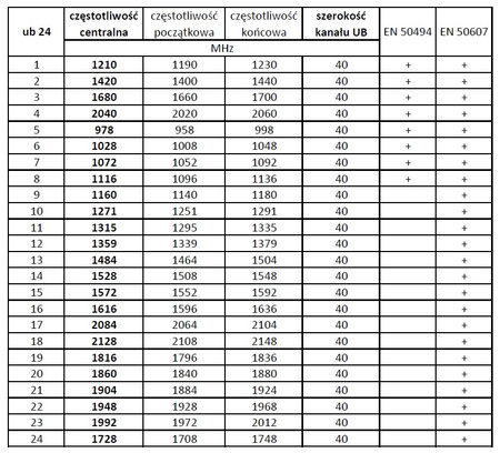
do transmisji sygnału 24 częstotliwości:
- Odbiornik 1 - 1210MHz
- Odbiornik 2 - 1420MHz
- Odbiornik 3 - 1680MHz
- Odbiornik 4 - 2040MHz
- Odbiornik 5 - 978MHz
- Odbiornik 6 - 1028MHz
- Odbiornik 7 - 1072MHz
- Odbiornik 8 - 1116MHz
- Odbiornik 9 - 1160MHz
- Odbiornik 10 - 1271MHz
- Odbiornik 11 - 1315MHz
- Odbiornik 12 - 1359MHz
- Odbiornik 13 - 1484MHz
- Odbiornik 14 - 1528MHz
- Odbiornik 15 - 1572MHz
- Odbiornik 16 - 1616MHz
- Odbiornik 17 - 2084MHz
- Odbiornik 18 - 2128MHz
- Odbiornik 19 - 1816MHz
- Odbiornik 20 - 1860MHz
- Odbiornik 21 - 1904MHz
- Odbiornik 22 - 1948MHz
- Odbiornik 23 - 1992MHz
- Odbiornik 24 - 1728MHz
Jedno wyjście konwertera UNICABLE (SCR) w kolorze złotym pozwala na poprowadzenie sygnału jednym kablem do max. 24 odbiorników cyfrowych z sygnałem SCR lub UNICABLE.
Trzy wyjścia konwertera full band w kolorze srebrnym pozwalają na podłączenie trzech tradycyjnych odbiorników cyfrowych.
Parametry techniczne:
- Pasmo wejściowe: 10,70-11,70 GHz/11,70- 12,75 GHz
- Pasmo wyjściowe: 950-1950 MHz/1100-2150 MHz
- Górne pasmo wejściowe; 11,7-12,75 GHz
- Oscylator górny: 10,4/9,75/10,6 GHz
- Wyjścia kanałów SCR: 24
- Wyjścia sygnałów Full Band: 3
- Wzmocnienie: pow. 57 dB
- Ilość wyjść full band: 2
- Współczynnik szumów: 0,1 dB
- Pobór prądu: 300 mA
- Średnica uchwytu: 40 mm
- Temperatura pracy: - 40?C + 65?C
Cechy produktu
Cena katalogowa
129,00 zł/1szt.
Marka
Podmiot odpowiedzialny za ten produkt na terenie UE
DMTrade Mikołaj TomaszewskiWięcej
ProducentDMTrade Mikołaj TomaszewskiAdres:
ul. Wiśniowa 36Kod pocztowy: 64-000Miasto: KościanKraj: PolskaNumer telefonu: +48 61 111 02 52Adres email: info@dmtrade.pl
Podmiot odpowiedzialnyDMTrade Mikołaj TomaszewskiAdres:
ul. Wiśniowa 36Kod pocztowy: 64-000Miasto: KościanKraj: PolskaNumer telefonu: +48 61 111 02 523Adres email: info@dmtrade.plOpis: DMTrade
Symbol
LNBU-OPTI-ROB242L
Kod producenta
5908266361888
Gwarancja
Ilość wyjść Unicable II
1
Ilość wyjść Legacy
2
Możliwość programowania
nie
Wejście Terrestrial
nie
Opinie o LNB Unicable II Opticum Robust SCR 24UB + TWIN
5.00
Liczba wystawionych opinii: 1
51
40
30
20
10
Kliknij ocenę aby filtrować opinie
Napisz swoją opinię
Zapytaj o produkt















